Լաբորատորիայի ղեկավար
Գայանե Ծատիկի Գասպարյան, քիմ. գիտ. թեկնածու
ORСID: 0000-0002-2779-2728
Հեռախոս: (+37410) 284-033
Էլեկտրոնային փոստ: gayanegas@gmail.com
Լաբորատորիայի հետազոտությունների հիմնական ուղղությունը
- Երրորդային ֆոսֆինների, դրանց օքսիդների, ինչպես նաև չորրորդային ֆոսֆոնիումային աղերի ստացում,
- Չորրորդային ֆոսֆոնիումային աղերի և համապատասխան ֆոսֆինօքսիդների նուկլեոֆիլ և էլեկտրոֆիլ միացման ռեակցիաների առանձնահատկությունների ուսումնասիրություն, ֆոսֆորօրգանական նոր ածանցյալների սինթեզ,
- a,β-չհագեցած խումբ պարունակող դիֆենիլֆոսֆինօքսիդների սինթեզ, դրանց բրոմացման և դեհիդրոբրոմացման արգասիքների ռեկացիաների ուսումնասիրությունը A-H նուկլեոֆիլների հետ, որտեղ՝ A = N, C, S, O ( սպիրտներ, մերկապտաններ, ամիններ, պիրազոլներ, CH-թթուներ, ազոլներ և այլն),
- Նոր ֆոսֆորիլային միացությունների սինթեզ, որոնք ռադիկալում պարունակում են ցիկլոպրոպանային և ազիրիդինային օղակ,
- Սինթեզված միացությունների կենսաբանական հատկությունների ուսումնասիրություն։
Ֆոսֆորօրգանական միացությունների լաբորատորիայի պատմություն
Ֆոսֆորօրգանական միացությունների լաբորատորիան հիմնադրվել է 1970 թվ.-ին ՀՀ ԳԱԱ ակադեմիկոս Մայա Հրանտի Ինճիկյանի կողմից: Լաբորատորիայի ստեղծման առաջին իսկ օրերից, Ֆոսֆորօրգանական միացությունների լաբորատորիան, ակադեմիկոս Մ.Գ. Ինճիկյանի ղեկավարությամբ, իրականացրել է համակարգված հետազոտություններ α,β- և β,γ-չհագեցած չորրորդային ֆոսֆոնիումային աղերի ջրային-հիմնային ճեղքման բնագավառում։ Այս ուսումնասիրությունները տեսական հետաքրքրության հետ մեկտեղ, ունեին նաև գործնական նշանակություն՝ որոշակի կառուցվածք ունեցող դիֆենիլֆոսֆորիլային միացությունների հնարավոր սինթեզի տեսակետից, որոնք էլ իրենց հերթին կարող էին պոտենցիալ գործնական հետաքրքրություն ներկայացնել:
2014 թվ.-ին լաբորատորիան շարունակեց ղեկավարել քիմիական գիտությունների դոկտոր, պրոֆեսոր Մառլենա Ժիրայրի Հովակիմյանը։ Նա ընդլայնեց հետազոտությունների շրջանակը՝ շարունակելով չորրորդային ֆոսֆոնիումային աղերի փոխազդեցության ռեակցիաների առանձնահատկությունների բացահայտման և նոր ֆոսֆորօրգանական ածանցյալների սինթեզի իրականացման ուղղությամբ։ Լաբորատորիայի ղեկավարման տարիների ընթացքում Մ. Հ. Ինճիկյանը և Մ. Ժ. Հովակիմյանը ստացել են բազմաթիվ հետաքրքիր արդյունքներ, այդ թվում՝
- Առանձնացվել և նույնականացվել է միացությունների նոր դաս՝ ֆոսֆոբետաիններ, որոնք տրիալկիլֆոսֆինների փոխազդեցության 1:1 ադդուկտներ են՝ տարբեր ացետիլենային և ալենային միացությունների հետ։
- Բացահայտվել է 2-հիդրազինո- և 2-հիդրօքսիլամինո-էթիլֆոսֆոնիումային աղերի և ֆոսֆոնատների ներմոլեկուլային դեհիդրման ռեակցիան, որը հանգեցրել է ֆոսֆոր-տեղակալված հիդրազոնների և օքսիմների առաջացմանը։
- Առաջարկվել է 4-ալկիլսուլֆանիլ տեղակալված 1,3-դիենֆոսֆոնիումային աղեր ստանալու նոր եղանակ, որոնք դժվար էր ստանալ այլ մեթոդներով։
2022 թվ.-ից լաբորատորիան ղեկավարում է ք.գ․թ․ Գայանե Ծատիկի Գասպարյանը։ Շարունակելով հիմնական հետազոտությունների ուղղությունը՝ նա հատուկ ուշադրության է արժանացրել 1,2-դիբրոմէթիլ- և α-բրոմովինիլ-տեղակալված ֆոսֆինօքսիդների և ֆոսֆոնատների տարբեր նուկլեոֆիլների հետ ռեակցիաների սպեցիֆիկության բացահայտմանը։
Լաբորատորիայի գործունեության արդյունքում հրատարակվել են բազմաթիվ գիտական աշխատանքներ և հոդվածներ, ձևակերպվել արտոնագրեր։
Ներկա գործունեություն
Լաբորատորիայում աշխատում են բարձր որակավորում ունեցող 10 մասնագետներ, որից յոթը՝ քիմիական գիտությունների թեկնածու:
Լավագույն արդյունքներ
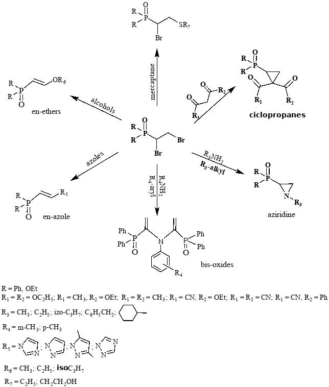
Լաբորատորիայի աշխատակիցները սինթեզել են α,β-չհագեցած դիֆենիլֆոսֆինօքսիդներ և ֆոսֆոնատներ, իրականացրել դրանց բրոմացման և դեհիդրոբրոմացման ռեակցիաները։
Ստացված ֆոսֆորտեղակալված մոնո- և դիբրոմիդները ներգրավվել են տարբեր նուկլեոֆիլների հետ ռեակցիաների մեջ՝ դրանց փոխազդեցության առանձնահատկությունները ուսումնասիրելու համար։
Ցույց է տրվել, որ կախված նուկլեոֆիլներից, մասնավորապես՝ սպիրտներից, CH-թթուներից, առաջնային ալկիլ- և արիլամիններից, մերկապտաններից և ազոլներից, բրոմ-տեղակալված ֆոսֆինօքսիդների և ֆոսֆոնատների փոխազդեցությունը վերջիններիս հետ հանգեցնում է ֆոսֆորտեղակալված միացությունների լայն շրջանակի առաջացմանը, այն է՝ ենային եթերների, ցիկլոպրոպանների, ազիրիդինների, բիսօքսիդների և են-ազոլների։
Ֆոսֆորօրգանական միացությունների օգտակար հատկությունների վերաբերյալ առկա գրականության տվյալների հիման վրա կարելի է ենթադրել, որ սինթեզված միացությունները կարող են օգտագործվել նաև որպես բուժական պատրաստուկներ, միջատասպաններ, թունաքիմիկատներ, պլաստիֆիկատորներ, պոլիմերային նյութերի կայունացուցիչներ, մետաղ պարունակող աղերի էքստրագենտներ, կատալիզատորներ և այլն:
Վերջին տարիների լավագույն աշխատանքները
Russ. J. Org. Chem., 2020, 56 (1), pp. 90–94. DOI: 10.1134/S1070428020010157
Russ. J. Gen. Chem., 2021, 91 (8), pp. 1494–1498. DOI: 10.1134/S1070363221080107
Russ. J. Org. Chem., 2022, 58 (12), pp. 1989–1991. DOI: 10.1134/S1070428022120314
Russ. J. Org. Chem., 2023, 59 (11), pp. 2008–2012. DOI: 10.1134/S1070428023110234
Russ. J. Gen. Chem., 2024, 94, (1), pp. 62-65. DOI: 10.1134/S1070363224010055
Russ. J. Gen. Chem., 2025, 95 (5), pp. 1086–1092. DOI: 10.1134/S1070363225600390
ЖОХ, 2025, 95 (7-8), с. 298-304. DOI: 10.31857/S0044460X25070062, EDN: SPTRKE
Russ. J. Org. Chem., 2025, 60 (12), pp. 2331–2335. DOI: 10.1134/S1070428024120030
Russ. J. Org. Chem., 2025, 61 (2), pp. 258–262. DOI: 10.1134/S1070428024603522


